Skip to main content
Back

Manulife Investment Management Declares Income Distribution for 9 funds

12/01/2021

 

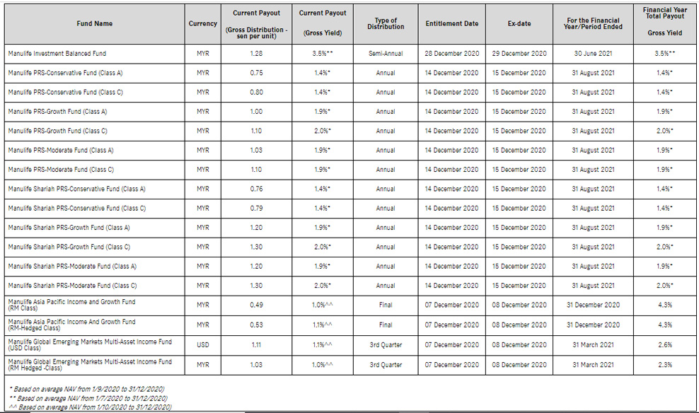
Manulife Investment Management (M) Berhad has declared income distributions for the following unit trust funds namely Manulife Investment Balanced Fund, Manulife PRS-Conservative Fund (Class A), Manulife PRS-Conservative Fund (Class C), Manulife PRS-Growth Fund (Class A), Manulife PRS-Growth Fund (Class C), Manulife PRS-Moderate Fund (Class A), Manulife PRS-Moderate Fund (Class C), Manulife Shariah PRS-Conservative Fund (Class A), Manulife Shariah PRS-Conservative Fund (Class C), Manulife Shariah PRS-Growth Fund (Class A), Manulife Shariah PRS-Growth Fund (Class C), Manulife Shariah PRS-Moderate Fund (Class A), Manulife Shariah PRS-Moderate Fund (Class C), Manulife Asia Pacific Income and Growth Fund (RM Class), Manulife Asia Pacific Income And Growth Fund (RM-Hedged Class), Manulife Global Emerging Markets Multi-Asset Income Fund (USD Class) and Manulife Global Emerging Markets Multi-Asset Income Fund (RM Hedged -Class).

21_DeclaredDistributions_17Funds_12thJan-B.jpg

All unit holders who maintained their units in Manulife Asia Pacific Income and Growth Fund (RM Class), Manulife Asia Pacific Income And Growth Fund (RM-Hedged Class), Manulife Global Emerging Markets Multi-Asset Income Fund (USD Class) and Manulife Global Emerging Markets Multi-Asset Income Fund (RM Hedged -Class) as at 7 December 2020, Manulife PRS-Conservative Fund (Class A), Manulife PRS-Conservative Fund (Class C), Manulife PRS-Growth Fund (Class A), Manulife PRS-Growth Fund (Class C), Manulife PRS-Moderate Fund (Class A), Manulife PRS-Moderate Fund (Class C), Manulife Shariah PRS-Conservative Fund (Class A), Manulife Shariah PRS-Conservative Fund (Class C), Manulife Shariah PRS-Growth Fund (Class A), Manulife Shariah PRS-Growth Fund (Class C), Manulife Shariah PRS-Moderate Fund (Class A), Manulife Shariah PRS-Moderate Fund (Class C) as at 14 December 2020 and Manulife Investment Balanced Fund as at 28 December 2020 are entitled  receive the distributions.

Thank you.

Help us to serve you betterClick here to find out how you can update your Information today!

View more

Help us to serve you betterClick here to find out how you can update your Information today!

View more